湖北永阔科技有限公司
搜 索
网站首页
走进我们
永阔简介
永阔文化
新闻活动
公司新闻
行业新闻
产品中心
化学农药原药
生物化工
合作伙伴
联系我们
化学农药原药
生物化工
中文名称暂缺
5-溴-4-氯-3-吲哚-Α-D-麦芽三糖糖苷
4-硝基苯基-Β-D-麦牙糖苷
1-脱氧-1-硝基-D-半乳糖醇
十四烷基-Β-D-麦芽糖苷
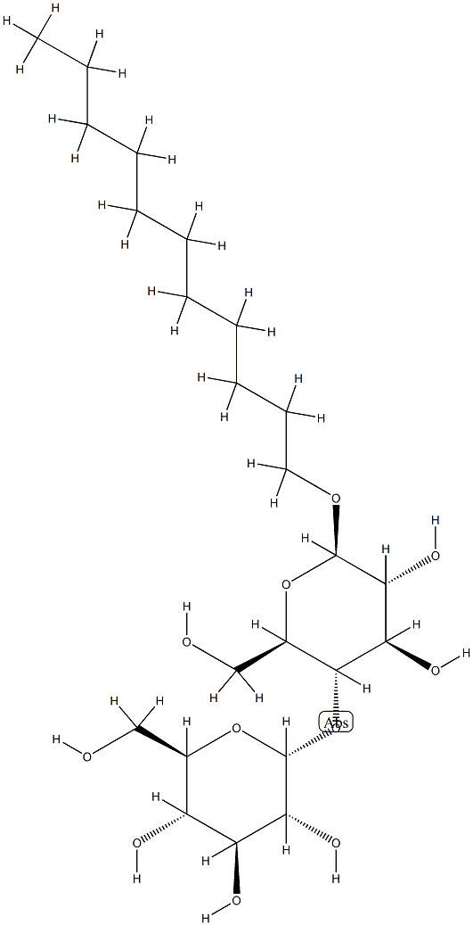
十六烷基-Β-D-麦芽糖苷
6-O-乙酰氧-2,3,4-三(2-甲基丙酰氧)-β-D-呋喃
正丙基 BETA-乳糖苷
十烷基-A-D-麦芽糖苷
壬基-Β-D-麦芽糖苷
十一烷基-BETA-D-麦芽糖苷
己基-Β-D-麦芽糖苷
2-氯-4-硝基苯基-Β-D-吡喃乳糖苷
对硝基苯基麦芽糖苷
4-氨基苯基-Β-D-吡喃纤维二糖苷
上一页
下一页
首页
主页
关于我们
永阔简介
永阔文化
新闻资讯
公司新闻
行业新闻
产品展示
化学农药原药
生物化工
联系我们
电话:027-59223108
Q Q:1248580055
邮箱:info@yongkuotech.com
Copyright © 2015-2018 湖北永阔科技有限公司 版权所有